Online Marketing Experts Are Predicting A Massive Shift
Jul 23, 2016 · When do we use online as one word and when as two words? For example, do we say :"I want to go online or on line?" Jun 2, 2017 · 4 I'm trying to find the most general term or phrase for the opposite of "online course". When a course is not online, but in a classroom, or anywhere else people interact in the same place,. Jul 4, 2023 · There is an application, named "Discord", for online conversation. Does discord have another meaning which is probably more suited for the application, or is the application intended for. Dec 28, 2020 · "In-store" is increasingly being used alongside "online": "This computer is available in-store and online". You might ring, email or text the store and ask "Is this available in-store, because. I am writing a formal email to someone to send him the link of a scheduled online meeting. I have already acknowledged him before about the meeting. I can not figure out the most appropriate and fo.
To emphasize the contrast between the operations through online stores and ones with physical stores, buildings, or facilities, you can use the term brick-and-mortar (also written: brick and mortar, bricks. Oct 26, 2022 · I suspect different prepositions would work in different cases. "Selling on the internet" suggests everything is done online, while "selling via the internet" suggests the internet is used for.
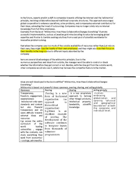
Email Marketing Benchmarks: Higher Ed Edition | Campaign Monitor
